这并非积分函数,而是二元线性求值问题,可通过Excel的规划求解功能完成计算。

将B2单元格设为x1
将B3单元格设为x2
在B1单元格输入公式:=3*B2-6*B3,用于计算L(Xpar)的值。
在B4单元格输入公式:=B2-B3,作为首个约束条件。
在B5单元格输入第二个约束条件公式:=-2*B2+B3
在B6单元格输入公式:=4*B2
打开规划求解,设置B1为目标单元格,并选择最大化。
将B2、B3设为可变单元格,对应x1、x2。
B4约束公式条件为大于等于零
B5约束条件为小于等于6
B4约束条件为小于等于7
设定B2、B3的约束条件为大于或等于零
接着将求解方式设为单纯形法,启动计算即可得出结果。
先用Excel打开学生成绩表,确认各科的学分。

将光标置于第一行成绩末尾的空白处,在fx后输入=,接着输入学分绩计算公式=(B2×4+C2×4+D2×2+E2×6)/(4+4+2+6)。

输入完毕后按Enter键,即可显示第一行结果,计算成功。

将光标移至首个结果右下角,待其变为十字形后,向下拖动至成绩表末尾,即可完成所有成绩的计算。

定积分表示曲线下的面积,可用Excel进行近似计算。
在Excel中用XY散点图绘制离散数据点。
利用Excel趋势线功能拟合离散点,绘制近似曲线。
利用Excel趋势线功能推导近似拟合曲线公式。
④ 运用微积分中的不定积分求解原函数,此步骤无法由Excel完成。
利用Excel表格与公式计算定积分结果。
根据表1数据绘制图1,计算图中曲线与横轴围成的紫色区域面积。


关键在于根据表1数据绘制散点图,拟合出趋势线并获取其方程,进而通过求解曲线公式,利用定积分完成计算。
选择表1中的数据区域,打开对话框,选中XY散点图类型,进入下一步并取消图例显示,最后生成2所示的XY散点图。

选中散点图数据点,右键点击并选择添加趋势线,操作3所示。

步骤3:打开对话框,切换至类型选项卡,在趋势预测/回归分析类型中,根据题目要求及积分计算需要,选择多项式类型,并将阶数设为2,也可根据曲线与数据点的拟合情况适当调整,4所示。

参见了解趋势预测与回归分析中曲线类型的特征,以更优选择并更好拟合数据点。
切换至选项选项卡,勾选显示公式复选框,根据需要可选择设置截距=0。为评估拟合效果,建议同时勾选显示R平方值。R平方越接近1,表示拟合程度越高;本例中R平方为1,表明曲线完全拟合,为最优趋势线。确认后6所示,图中显示的公式即为回归分析所得的拟合曲线方程。

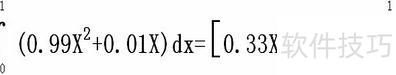
第五步:对曲线方程进行不定积分求原函数。

步骤6:通过Excel表格及公式拖动计算原函数值。如表2所示,在单元格C2中,于编辑栏输入公式=0.33*A2^3+0.005*A2^2并按回车确认。随后将鼠标移至C2单元格右下角,待光标变为+号时,按住左键向下拖动至C12单元格,系统将自动填充对应行的函数值。由此可依次得到F(0)、F(0.1)、F(0.2),直至F(1.0)的计算结果。需注意,C1单元格仅作为列标题,不参与计算,所有公式必须引用对应数据所在单元格,确保计算准确无误。
步骤7:根据表2数据计算区间曲线下面积。

=0.335