本视频演示设备为华硕天选2,系统为Windows 10专业版,软件版本为Microsoft Excel 2026。
打开Excel文件,选中需计算的数据区域,点击上方工具栏中的选项卡,在编辑功能组中找到旁边的下拉箭头,点击后选择。在弹出的窗口中,于处选,向下滚动查找并选中函数,点击。随后弹出对话框,点击输入框右侧的折叠按钮,回到表格中选取计算标准差的数据范围,再次点击折叠按钮旁的完成操作。
在函数输入框中输入,括号内选择需计算标准差的区域,按下键盘上的即可完成。
本期视频到此结束,谢谢观看。
Excel中计算标准差的函数为STDEVP。
使用STDEVP函数计算总体标准差
选中目标单元格,点击上方fx图标,插入函数进行标准差计算。
在函数对话框中输入STDEVP,从结果列表中双击该函数以打开参数设置界面。
在参数设置对话框中,选择需计算标准差的单元格区域,可按需求自定义选取。
点击确定后生成标准差,多组数据可向下填充公式批量计算结果。

标准差有两种计算公式如下所示
std(A)函数用于计算常见的标准差,默认按列进行,除以N-1。该函数不能直接计算矩阵的整体标准差,仅支持逐行或逐列单独计算,缺省时以列为单位处理数据。
在MATLAB主窗口输入std(A)并回车,将输出每列的标准差。该函数的参数决定计算方式:若参数为0,则除以N-1;若为1,则除以N。
工具:Excel
二、操作步骤:
在Excel中计算标准差,只需掌握并正确使用相关函数即可轻松完成操作。
此处通过计算成绩数据的方差进行演示。

共有42个数据样本,先选中要演示的单元格。

在单元格地址栏输入=STDEVP(),该函数用于计算标准差,需掌握此基本用法。

将鼠标移至括号内,即可看到可选范围。

选择需计算方差的数据区域,从上往下拖动选取。

最后按回车键确认,即可获取指定范围的数据与标准结果。

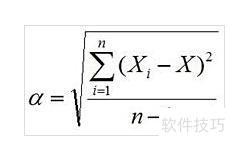
标准差是方差的算术平方根,用s表示;方差是标准差的平方,记作s?。计算时先求方差,再对其开方得标准差,反之亦然。
输入括号时需切换至英文输入法,否则可能出错。

注意事项:
STDEV 函数根据样本数据估算标准偏差,用于衡量各数值与平均值之间的偏离程度。
STDEV 函数用于根据样本数据估算标准偏差,常在 SPC 统计过程控制中作为整体参考值使用。其语法为 STDEV(number1, number2, …),其中 number1、number2 等为对应样本的 1 至 30 个数值参数,反映数据的离散程度。
【说明】
忽略逻辑值与文本数据,若需包含则应使用STDEVA函数处理。
STDEV函数默认参数为总体中的样本,若数据代表整个总体,应使用STDEVP计算标准偏差。VAR用于计算样本方差(自由度为n-1),其平方根即为STDEV;VARP则计算总体方差,开方后得到STDEVP。在方差分析中,常将VARP乘以数据个数,或使用SUMSQ函数求得平方和,以便进一步统计分析。
此处标准偏差采用无偏估计或n-1法进行计算。
STDEV 公式用于计算样本标准差,其中 x 表示样本中 n 个数值的平均值。
